Vehkajärven vene- ja uimapaikan ylimääräisen kokouksen 1.3.2020 pöytäkirja
Vehkajärven vene- ja uimapaikan (211-495-878-2) ylimääräinen osakaskunnan kokous
Paikka: Vehkajärven koulu sunnuntaina 1.3.2020 klo 13:00
Osanottajat: Osanottajaluettelo liitteenä
Pöytäkirja:
1 Kokouksen avaus:
Seppo Inkinen, hoitokunnan puheenjohtaja
- Valittiin kokoukselle puheenjohtajaksi Seppo Inkinen, pöytäkirjan tarkastajaksi ja ääntenlaskijaksi Hannu Anttila, sihteeriksi Pekka Kauppinen.
- Todettiin kokouksen laillisuus ja päätösvaltaisuus. Mirja Koljonen esitti eriävän mielipiteen kokouksen asianmukaisesta kokoonkutsumisesta.
- Hyväksyttiin esityslista.
- Tehtiin ja hyväksyttiin äänestysluettelo.
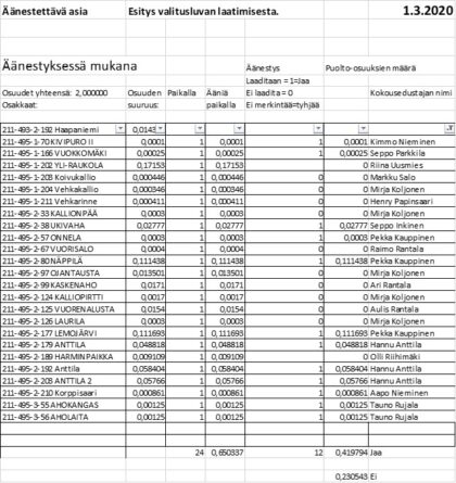
- Valituslupahakemuksen ja valituksen laatiminen Korkeimmalle oikeudelle Turun hovioikeuden tuomiosta Nro13 7.1.2020 (Osakaskunnan päätöksen moite).
Asiasta keskusteltiin ja Kimmo Nieminen esitti Valituslupahakemuksen ja valituksen laatimista Korkeimmalle oikeudelle. Pekka Kauppinen kannatti esitystä. Markku Salo esitti, ettei valituslupahakemusta ja valitusta tehdä.
Raimo Rantala kannatti Markku Salon esitystä.
Koska on tehty kaksi toisistaan poikkeavaa esitystä, on suoritettava äänestys.
Äänestyksessä annettiin 0,42 puoltoääntä Kimmo Niemisen esitykselle ja 0,23 puoltoääntä Markku Salon esitykselle.
Valituslupa ja valitus korkeimmalle oikeudelle laaditaan.
- Vene- ja uimapaikan kiinteistöstä määräalan / määräalojen myyminen niin, että uimapaikka jää osakaskunnalle.
Keskustelussa Kimmo Nieminen esitti Pekka Kauppisen kannattamana, että määrä/määräalat asetetaan myyntiin. Myyntiin asettamista vastusti Raimo Rantala Ari Rantalan kannattamana.
Koska on tehty kaksi poikkeavaa esitystä, niin asiasta äänestetään.
Äänestyksessä annettiin 0,42 puoltoääntä myyntiin ja 0,23 vastusti.
Päätös: Määräala/määräalat asetetaan myyntiin.
- Kokouksen päättäminen. Kokous päätettiin klo 14:45
Evästyksenä hoitokunnalle suositeltiin myynnistä päätettävän kokouksen kokoonkutsumista kirjeellä kaikille osakkaille. Myyntitavaksi suositeltiin tarjouskauppaa, jossa tarjouksia voi nostaa.
Kokouksesta laadittava tarkistettu pöytäkirja on nähtävänä Vehkajärven koulun ilmoitustaululla 14 päivän ajan 2.3.2020 alkaen.
_________________ __________________
Seppo Inkinen, pj Pekka Kauppinen, sihteeri
Pöytäkirjan tarkastus: ____________________
Hannu Anttila
Liitteet: Äänestysten tulokset

